Zadania maturalne z chemii – Węglowodory (od 2024 r.) – liceum
Ten dział obejmuje zadania maturalne z chemii rozszerzonej – węglowodory , zgodne z aktualną formułą egzaminu. Rozwiązując je, przećwiczysz mechanizmy reakcji charakterystycznych dla alkanów, alkenów, cykloalkanów i węglowodorów aromatycznych oraz nauczysz się przewidywać produkty przemian na podstawie budowy cząsteczki.
W zestawie znajdziesz m.in. zadania dotyczące addycji zgodnej i niezgodnej z regułą Markownikowa (hydroborowanie–utlenianie), substytucji rodnikowej i elektrofilowej (bromowanie p-ksylenu), reakcji utleniania (otrzymywanie kwasu tereftalowego), spalania PVC oraz analizy trwałości benzenu w kontekście delokalizacji elektronów π. Pojawiają się także polecenia wymagające rozpoznawania enancjomerów, określania rzędowości atomów węgla i zapisu wzorów półstrukturalnych.
To typowe zadania maturalne z węglowodorów – chemia organiczna rozszerzona , które sprawdzają zarówno wiedzę teoretyczną, jak i umiejętność logicznego wnioskowania. Pełny zbiór obejmuje ponad 1000 zadań z chemii rozszerzonej, dlatego ten dział pozwala skutecznie przygotować się do nowych typów poleceń pojawiających się na maturze z chemii.
Chcesz zobaczyć pełne rozwiązania krok po kroku?
Uzyskaj dostęp do 1136 zadań z chemii i ucz się skutecznie.
Odblokuj pełną treść Dołącz do setek uczniów przygotowujących się do sprawdzianów i matury.
Poniżej znajdziesz przykładowe zadania z działu Węglowodory (od 2024 r.) . Pełny zbiór zawiera 1136 z chemii rozszerzonej.
Zadanie ID: 2707
2025 VI (f.2023) Zadanie 20.
W celu otrzymania bromoalkanu o wzorze sumarycznym C5 H11 Br przeprowadzono reakcję alkoholu alifatycznego z halogenkiem fosforu(III). Reakcja przebiega zgodnie ze schematem, w którym R to grupa alkilowa, a X – atom halogenu:
R–OH + PX3 → 3R–X + H3 PO3
W cząsteczkach otrzymanej bromopochodnej występują:
• drugorzędowy asymetryczny atom węgla
• trzeciorzędowy atom węgla.
Na podstawie: K.H. Lautenschläger, W. Schröter, A. Wanninger, Nowoczesne kompendium chemii, Warszawa 2007.
Zadanie 20.1. (0–1)
Uzupełnij poniższy schemat tak, aby przedstawiał budowę obu enancjomerów opisanej bromopochodnej.
Zadanie 20.2. (0–1)
Związek Q to izomer opisanej powyżej bromopochodnej. W cząsteczce tego izomeru znajduje się jeden czwartorzędowy atom węgla. Związek Q poddano reakcji hydrolizy zasadowej.
Napisz wzór półstrukturalny (grupowy) organicznego produktu reakcji hydrolizy zasadowej związku Q.
................................
Rozwiązanie tylko dla zalogowanych
Zadanie ID: 1821
2025 V (f.2023) / Informacja do zadań 18.–20.
Poniżej przedstawiono wzór 1,4-dimetylobenzenu, czyli p-ksylenu.
{...}
Zadanie 20. (0–1)
W wyniku katalitycznego utlenienia p-ksylenu otrzymuje się kwas tereftalowy, czyli kwas benzeno-1,4-dikarboksylowy.
Napisz wzór półstrukturalny (grupowy) lub uproszczony opisanego kwasu.
Rozwiązanie tylko dla zalogowanych
Zadanie ID: 1817
2025 V (f.2023) / Informacja do zadań 18.–20.
Poniżej przedstawiono wzór 1,4-dimetylobenzenu, czyli p-ksylenu.
Ten związek reaguje z bromem zarówno pod wpływem światła, jak i w obecności żelaza.
Na podstawie: J. McMurry, Chemia organiczna, Warszawa 2018.
Zadanie 18. (0–1)
Uzupełnij tabelę. Napisz nazwę typu reakcji p-ksylenu z bromem pod wpływem światła i w obecności żelaza (addycja, eliminacja albo substytucja) oraz nazwę mechanizmu (elektrofilowy, nukleofilowy albo rodnikowy), według którego przebiega każda z tych reakcji.
Reakcja p-ksylenu z bromem
pod wpływem światła
w obecności Fe
Typ reakcji
Mechanizm reakcji
Zadanie 19. (0–1)
Napisz równanie reakcji monobromowania p-ksylenu pod wpływem światła. Zastosuj wzory półstrukturalne (grupowe) związków organicznych.
....................................
Rozwiązanie tylko dla zalogowanych
Zadanie ID: 1810
2025 V (f.2023) / Zadanie 17.
Reakcja addycji halogenowodorów do niesymetrycznych alkenów zwykle przebiega zgodnie z regułą Markownikowa. Również przyłączenie cząsteczki wody do podwójnego wiązania, które zachodzi w środowisku kwasowym, prowadzi do powstania alkoholu o możliwie najwyższej rzędowości. Odstępstwa od tej reguły obserwuje się w reakcjach addycji wody przebiegających z udziałem wodorku boru (BH3 ) i nadtlenku wodoru (H2 O2 ) w obecności jonów wodorotlenkowych (OH– ). Takie postępowanie pozwala uzyskać alkohol, który jest produktem reakcji przebiegającej niezgodnie z regułą Markownikowa.
Na podstawie: J. McMurry, Chemia organiczna, Warszawa 2018.
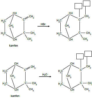
Zadanie 17.2. (0–1)
Kamfen jest składnikiem wielu olejków eterycznych.
Uzupełnij wzory produktów przemian opisanych poniższymi schematami:
• addycji HBr przebiegającej zgodnie z regułą Markownikowa
• addycji H2O przebiegającej niezgodnie z regułą Markownikowa.
Rozwiązanie tylko dla zalogowanych
Zadanie ID: 1670
2025 V (f.2023) / Zadanie 17.
Reakcja addycji halogenowodorów do niesymetrycznych alkenów zwykle przebiega zgodnie z regułą Markownikowa. Również przyłączenie cząsteczki wody do podwójnego wiązania, które zachodzi w środowisku kwasowym, prowadzi do powstania alkoholu o możliwie najwyższej rzędowości. Odstępstwa od tej reguły obserwuje się w reakcjach addycji wody przebiegających z udziałem wodorku boru (BH3 ) i nadtlenku wodoru (H2 O2 ) w obecności jonów wodorotlenkowych (OH– ). Takie postępowanie pozwala uzyskać alkohol, który jest produktem reakcji przebiegającej niezgodnie z regułą Markownikowa.
Na podstawie: J. McMurry, Chemia organiczna, Warszawa 2018.
Zadanie 17.1. (0–2)
Uzupełnij poniższe schematy. Napisz w każdym z nich:
• wzór półstrukturalny (grupowy) alkenu – organicznego substratu przemiany
• niezbędne warunki prowadzenia procesu.
Rozwiązanie tylko dla zalogowanych
Zadanie ID: 1745
2024 V (f.2023) / Informacja do zadań 14.–16.
Poniżej przedstawiono wzory półstrukturalne wybranych węglowodorów – związków X, Y i Q.
Zadanie 14. (0–1)
W reakcji związku X z bromowodorem powstaje mieszanina związków A i B. Ogrzewanie związku A w alkoholowym roztworze wodorotlenku potasu prowadzi do otrzymania
związku X jako jedynego produktu organicznego reakcji eliminacji.
Napisz nazwę systematyczną związku A i narysuj wzór półstrukturalny (grupowy) związku B.
Nazwa systematyczna związku A: .................................
Wzór związku B: ............................................................
Rozwiązanie tylko dla zalogowanych
Zadanie ID: 1746
2024 V (f.2023) / Informacja do zadań 14.–16.
Poniżej przedstawiono wzory półstrukturalne wybranych węglowodorów – związków X, Y i Q.
Zadanie 15. (0–1)
Rozstrzygnij, czy główny produkt addycji wody do związku Y w obecności katalizatora H3 O+ jest taki sam jak główny produkt addycji wody do związku Q prowadzonej w tych
samych warunkach. Odpowiedź uzasadnij. W uzasadnieniu odnieś się do konsekwencji różnicy w budowie cząsteczek.
Rozstrzygnięcie: ………………………………
Uzasadnienie: …………………………………
Rozwiązanie tylko dla zalogowanych
Zadanie ID: 1761
2024 (f.2023) / Zadanie 17.
Cykloalkany ulegają analogicznym reakcjom jak alkany.
Benzen, cykloheksan i styren to węglowodory, które w temperaturze pokojowej są bezbarwnymi cieczami. Ich wzory przedstawiono poniżej:
W trzech naczyniach znajdowały się oddzielnie i w przypadkowej kolejności: benzen, cykloheksan i styren. W celu identyfikacji tych substancji wykonano dwuetapowe doświadczenie. W pierwszym etapie do trzech probówek zawierających wodny roztwór manganianu(VII) potasu w środowisku obojętnym wprowadzono po jednej z badanych substancji. Następnie każdą probówkę zamknięto korkiem i wstrząśnięto. Po pewnym czasie zawartości probówek przybrały wygląd pokazany na zdjęciach.
W pierwszym etapie zidentyfikowano jeden z trzech węglowodorów. W drugim etapie doświadczenia do próbek niezidentyfikowanych węglowodorów wprowadzono stężony kwas azotowy(V) z dodatkiem stężonego kwasu siarkowego(VI) – i ogrzano zawartości probówek. Wyniki drugiego etapu doświadczenia przedstawiono na poniższych zdjęciach.
Zadanie 17.1. (0–1)
Napisz wzór sumaryczny związku manganu, który powstał w wyniku reakcji zachodzącej w pierwszym etapie doświadczenia, oraz wzór półstrukturalny (grupowy) lub uproszczony organicznego produktu tej przemiany.
Wzór związku manganu
Wzór produktu organicznego
Zadanie 17.2. (0–1)
Napisz równanie reakcji, która umożliwiła odróżnienie związków w drugim etapie doświadczenia.
...................................
Rozwiązanie tylko dla zalogowanych
Zadanie ID: 1762
2024 V (f.2023) / Informacja do zadań 18.–19.
Na poniższym schemacie zilustrowano dwuetapowy proces otrzymywania PVC – poli(chlorku winylu) – z acetylenu (etynu).
n HC≡CH —HCl → n H2 C=CHCl → -[−CH2 −CHCl-]n –
Etyn stosowany w tej reakcji powstaje w wyniku działania wody na acetylenek wapnia, stanowiący główny składnik karbidu.
Zadanie 18. (0–1)
Podczas spalania PVC powstają tlenek węgla(IV), para wodna i bezbarwny gaz o ostrym zapachu, którego cząsteczki są zbudowane z dwóch atomów. Stosunek molowy produktów spalania jest równy n CO2 ∶ n H2 O ∶ n X = 2 : 1 : 1.
Uzupełnij poniższy schemat, tak aby otrzymać równanie reakcji spalania, w której uczestniczy fragment PVC zbudowany z czterech merów.
-[−CH2 −CHCl-]4 – + ...O2 → .....................................
Rozwiązanie tylko dla zalogowanych
Zadanie ID: 3944
2024 VI (f.2023) / Zadanie 19. (0–1)
W tabeli podano wartości standardowej entalpii uwodornienia: cykloheksenu, cykloheksa-1,3-dienu i benzenu:
Na podstawie danych zamieszczonych w tabeli uzupełnij poniższe zdania. Wybierz i zaznacz jedną odpowiedź spośród podanych w każdym nawiasie.
Gdyby wiązania π w cząsteczce benzenu nie były zdelokalizowane, entalpia uwodornienia tego związku miałaby znacznie (niższą / wyższą) wartość niż −207,0 kJ ∙ mol−1 .
Delokalizacja wiązań π skutkuje (zwiększeniem / zmniejszeniem) trwałości cząsteczki benzenu.
Rozwiązanie tylko dla zalogowanych